
ホーム > 海外ネット関連ニュース> Facebook利用状況 推移 (ヨーロッパ)
[編集日:2009.04.17 」
2009年4月15日 (コムスコア)
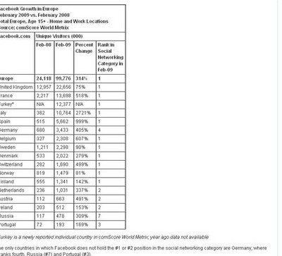
欧州諸国 Facebook 利用の伸び
単位 : ①利用者数 (+000人)、 ②増加率 (パーセント)、 ③SNSサイトにおけるランキング (位)
* ヨーロッパ諸国で、Facebookの人気が高まっている。
現在、イギリスには2,270万人の利用者がおり、ヨーロッパ市場最多。 (前年比75%増)
次いでフランスが1,370万人(518% 増)、トルコには1,240万人(前年比のデータなし)の利用者がいる。
最近では、スペインでも人気で、利用者が増えている。
イタリアでは前年比2,700%以上の上昇で、現在1,080万人の利用者がいる。
![]()
期間 : 2009年2月 VS 2008年2月
対象 : ヨーロッパの15歳以上人口 自宅、職場からのアクセス (コムスコア調べ)